12月18日,国际知名期刊《Nature Communications》上在线发表了一项以“Missing molybdenum and the composition of the continental crust inferred from molybdenum isotopes.(钼元素的缺失及大陆地壳成分的推断——基于钼同位素的研究)”的研究成果。中国地质大学(北京)地球科学与资源学院许继峰教授团队的在读博士生田亚妹为第一作者,黄丰副教授、许继峰教授等为通讯作者,首次提出大陆地壳的钼同位素组成推荐值,并从钼同位素角度揭示了地壳-地幔的演化过程。
大陆地壳在太阳系各个星球中是独特的存在,其是地球演化过程的产物,它不仅是人类赖以生存的宜居场所,也提供了经济发展必需的资源和能源。然而,地壳如何形成、增生、循环及演化,仍存在长期的争议。同位素体系记录了壳幔物质交换的长期历史,但是现代壳幔系统的同位素组成是否已达到长期稳定平衡,仍是亟待探索的前沿科学问题。
钼(Mo)同位素是重要的地球化学示踪工具,在揭示古环境氧化还原状态与矿床成因中发挥着重要作用。基于其难熔且高度不相容的元素特性,其应用范围已拓展至壳幔分异及深部物质循环等行星尺度的地质过程研究中。然而,目前对地球关键储库(如地幔与地壳)的钼同位素组成尚缺乏精确限定,这限制了对物质迁移机制及相关通量的定量评估。因此,系统厘定主要地质储库的钼同位素组成,是充分释放其在地球演化研究潜力的关键前提。硅酸盐地球和亏损地幔的钼同位素组成(表示为δ98/95Mo)已得到较好约束,其参考值分别为-0.154‰和-0.204‰。然而,大陆地壳尤其是深部地壳的钼同位素特征仍存在较大不确定性,这一问题已成为理解地球系统钼循环的关键制约因素(图1)。

图1地壳形成过程中钼元素演化示意图
弧岩浆与大陆地壳的地球化学组成相似,表明弧岩浆过程在大陆地壳的形成与演化中扮演重要角色。因此,研究大陆弧壳剖面有望为限定大陆地壳的钼同位素组成提供关键依据。近期在青藏高原南部发现的冈底斯弧大陆地壳剖面,为研究大陆地壳较深部位的钼同位素组成提供了良好条件。
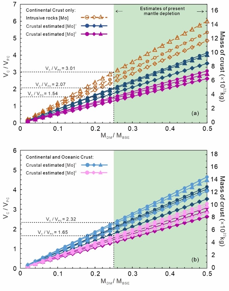
本研究基于青藏高原南部发现的冈底斯弧壳剖面,报道并分析了其最新的钼同位素数据,结合前人已发表的侵入岩钼同位素资料,对大陆地壳内部的钼同位素组成进行了深入探究,精细限制了大陆上、中和下地壳的钼同位素组成(图2)。结果显示,从大陆下地壳到中地壳和上地壳,它们的钼同位素组成呈现逐渐偏重的趋势,基于已有的大陆地壳分层结构,本研究结合多组地壳深度模型进行质量平衡计算,首次确定了全大陆地壳δ98/95Mo的参考值为-0.116 ± 0.011‰(2 s.e.),明显重于硅酸盐地球的钼同位素组成(图2)。进一步的地壳-地幔尺度质量平衡模拟表明,大陆地壳与亏损地幔之间的钼同位素组成目前已基本达到平衡。这些结果表明,在地球的长期演化过程中,地壳的生长与消亡已达到动态平衡(图3)。

图2 基于不同钼含量及地壳模型计算的大陆地壳钼同位素组成示意图

图3 基于质量平衡模型评估大陆壳δ98/95Mo值及壳幔分异过程
本研究不仅首次提出了大陆地壳钼同位素组成的推荐值,填补了深部大陆地壳钼同位素组成的空白,完善了全球钼同位素储库模型,深化了对地壳生长与消亡过程的理解,也为运用钼同位素体系揭示岩浆演化、沉积和成矿等关键地质过程奠定了重要基础。
该研究得到了国家重点研发计划(2020YFA0714800)、国家自然科学基金 (42121002,42373045)、中央高校基本科研业务专项基金(379202403,2652023001)、中国留学基金委奖学金(202306400068)和澳大利亚研究理事会基金(DE210101395)的资助。
论文信息:Tian, Y.M. (田亚妹), Huang, F.* (黄丰), Xu, J.F.* (许继峰), Li, J. (李杰), Zeng, Y.C. (曾云川) & McCoy-West, A.J.*. Missing molybdenum and the composition of the continental crust inferred from molybdenum isotopes. Nature Communications 2025, doi:10.1038/s41467-025-66234-5
全文链接:https://www.nature.com/articles/s41467-025-66234-5